Visualization of Lidar Products

POLIPHON step 1 product based on Klett bsc
Image
2026-03-06 00:33:02 ⇒ 01:32:33
Image
2026-03-06 00:33:02 ⇒ 02:00:02
Image
2026-03-06 01:33:03 ⇒ 02:30:03
Image
2026-03-06 02:40:33 ⇒ 03:40:03
Image
2026-03-06 02:40:33 ⇒ 04:00:03
Image
2026-03-06 03:40:32 ⇒ 04:40:02
Image
2026-03-06 03:40:32 ⇒ 05:00:02
Image
2026-03-06 04:40:32 ⇒ 05:40:03
Image
2026-03-06 04:40:32 ⇒ 05:59:32
Image
2026-03-06 05:40:33 ⇒ 06:40:03
Image
2026-03-06 05:40:33 ⇒ 07:00:03
Image
2026-03-06 06:40:32 ⇒ 07:40:02
Image
2026-03-06 06:40:32 ⇒ 08:00:02
Image
2026-03-06 07:40:32 ⇒ 08:40:03
Image
2026-03-06 07:40:32 ⇒ 09:00:03
Image
2026-03-06 08:40:33 ⇒ 09:40:03
Image
2026-03-06 08:40:33 ⇒ 10:00:03
Image
2026-03-06 09:40:32 ⇒ 10:40:02
Image
2026-03-06 09:40:32 ⇒ 11:00:02
Image
2026-03-06 10:40:32 ⇒ 11:40:03
Image
2026-03-06 11:40:33 ⇒ 12:40:03
Image
2026-03-06 11:40:33 ⇒ 13:00:03
Image
2026-03-06 12:40:32 ⇒ 13:40:02
Image
2026-03-06 12:40:32 ⇒ 14:00:02
Image
2026-03-06 13:40:32 ⇒ 14:40:03
Image
2026-03-06 13:40:32 ⇒ 15:00:03
Image
2026-03-06 14:40:33 ⇒ 15:40:03
Image
2026-03-06 14:40:33 ⇒ 16:00:03
Image
2026-03-06 15:40:32 ⇒ 16:50:03
Image
2026-03-06 17:00:32 ⇒ 17:59:32
Image
2026-03-06 17:00:32 ⇒ 18:00:03
Image
2026-03-06 18:00:33 ⇒ 19:00:03
Image
2026-03-06 19:00:32 ⇒ 20:00:02
Image
2026-03-06 20:00:32 ⇒ 21:30:02
Image
2026-03-06 21:40:32 ⇒ 22:40:02
Image
2026-03-06 22:40:32 ⇒ 23:59:32
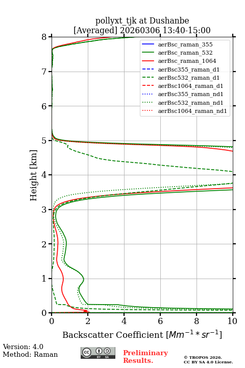
POLIPHON step 1 product based on Raman bsc
Image
2026-03-06 00:33:02 ⇒ 01:32:33
Image
2026-03-06 00:33:02 ⇒ 02:00:02
Image
2026-03-06 01:33:03 ⇒ 02:30:03
Image
2026-03-06 02:40:33 ⇒ 03:40:03
Image
2026-03-06 02:40:33 ⇒ 04:00:03
Image
2026-03-06 03:40:32 ⇒ 04:40:02
Image
2026-03-06 03:40:32 ⇒ 05:00:02
Image
2026-03-06 04:40:32 ⇒ 05:40:03
Image
2026-03-06 04:40:32 ⇒ 05:59:32
Image
2026-03-06 05:40:33 ⇒ 06:40:03
Image
2026-03-06 05:40:33 ⇒ 07:00:03
Image
2026-03-06 06:40:32 ⇒ 07:40:02
Image
2026-03-06 06:40:32 ⇒ 08:00:02
Image
2026-03-06 07:40:32 ⇒ 08:40:03
Image
2026-03-06 07:40:32 ⇒ 09:00:03
Image
2026-03-06 08:40:33 ⇒ 09:40:03
Image
2026-03-06 08:40:33 ⇒ 10:00:03
Image
2026-03-06 09:40:32 ⇒ 10:40:02
Image
2026-03-06 09:40:32 ⇒ 11:00:02
Image
2026-03-06 10:40:32 ⇒ 11:40:03
Image
2026-03-06 11:40:33 ⇒ 12:40:03
Image
2026-03-06 11:40:33 ⇒ 13:00:03
Image
2026-03-06 12:40:32 ⇒ 13:40:02
Image
2026-03-06 12:40:32 ⇒ 14:00:02
Image
2026-03-06 13:40:32 ⇒ 14:40:03
Image
2026-03-06 13:40:32 ⇒ 15:00:03
Image
2026-03-06 14:40:33 ⇒ 15:40:03
Image
2026-03-06 14:40:33 ⇒ 16:00:03
Image
2026-03-06 15:40:32 ⇒ 16:50:03
Image
2026-03-06 17:00:32 ⇒ 17:59:32
Image
2026-03-06 17:00:32 ⇒ 18:00:03
Image
2026-03-06 18:00:33 ⇒ 19:00:03
Image
2026-03-06 19:00:32 ⇒ 20:00:02
Image
2026-03-06 20:00:32 ⇒ 21:30:02
Image
2026-03-06 21:40:32 ⇒ 22:40:02
Image
2026-03-06 22:40:32 ⇒ 23:59:32