Visualization of Lidar Products

POLIPHON step 1 product based on Klett bsc
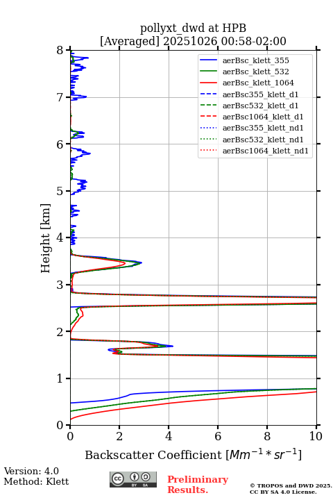
Image
2025-10-26 00:58:00 ⇒ 02:00:00
Image
2025-10-26 02:11:30 ⇒ 02:56:00
Image
2025-10-26 02:11:30 ⇒ 03:24:00
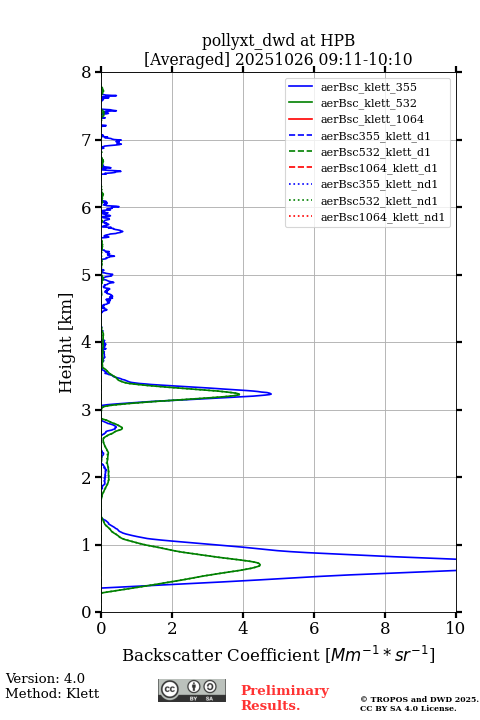
Image
2025-10-26 09:11:29 ⇒ 10:10:59
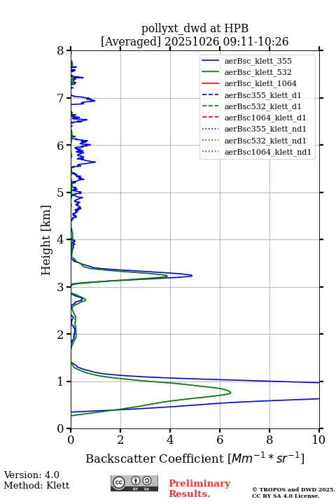
Image
2025-10-26 09:11:29 ⇒ 10:26:00
Image
2025-10-26 10:11:29 ⇒ 11:11:00
Image
2025-10-26 10:11:29 ⇒ 11:26:00
Image
2025-10-26 11:11:30 ⇒ 12:11:00
Image
2025-10-26 11:11:30 ⇒ 12:25:59
Image
2025-10-26 12:11:29 ⇒ 13:10:59
Image
2025-10-26 12:11:29 ⇒ 13:26:00
Image
2025-10-26 13:11:29 ⇒ 14:26:00
POLIPHON step 1 product based on Raman bsc
Image
2025-10-26 00:58:00 ⇒ 02:00:00
Image
2025-10-26 02:11:30 ⇒ 02:56:00
Image
2025-10-26 02:11:30 ⇒ 03:24:00
Image
2025-10-26 09:11:29 ⇒ 10:10:59
Image
2025-10-26 09:11:29 ⇒ 10:26:00
Image
2025-10-26 10:11:29 ⇒ 11:11:00
Image
2025-10-26 10:11:29 ⇒ 11:26:00
Image
2025-10-26 11:11:30 ⇒ 12:11:00
Image
2025-10-26 11:11:30 ⇒ 12:25:59
Image
2025-10-26 12:11:29 ⇒ 13:10:59
Image
2025-10-26 12:11:29 ⇒ 13:26:00
Image
2025-10-26 13:11:29 ⇒ 14:26:00