Remark
Polly observations made before Feb 2024 are currently only available at
polly-tmp.tropos.de
About
Info
list
Lidars
list
Locations
list
Product Categories
list
Product Types
search
Search
Publications
@ TROPOS
TROPOS - Home
Lidar group
Own developement
LACROS
Visualization of Lidar Products
Location | Calendar
place
Warsaw
|
date_range
Selected date
«
2025-12-31
»
1
Smart Mode
2
Expert Mode
3
Monitoring
4
Experimental
Overview panel
Attenuated backscatter coefficient
Attenuated backscatter coefficient NR
Volume depolarisation ratio
Quasi particle backscatter coeff.
Target Classification
Quasi products v2
Water vapour products
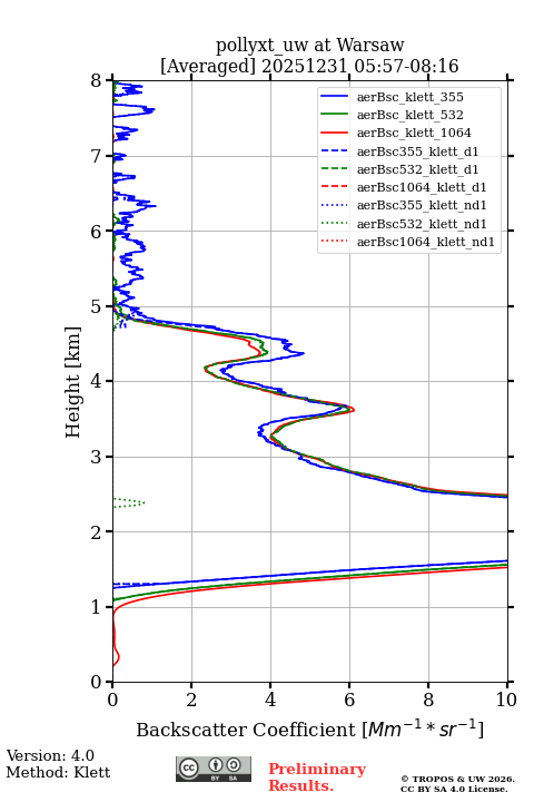
All_Optical_Profiles_high_range
All_Optical_Profiles_low_range
POLIPHON products
Averaged PR2 + meteo input
Range-corrected signal FR
Range-corrected signal NR
POLIPHON step 1 product based on Klett bsc
2025-12-31 05:57:29
⇒ 08:16:30
view_week
POLIPHON step 1 product based on Raman bsc
2025-12-31 05:57:29
⇒ 08:16:30
view_week