Remark
Polly observations made before Feb 2024 are currently only available at
polly-tmp.tropos.de
About
Info
list
Lidars
list
Locations
list
Product Categories
list
Product Types
search
Search
Publications
@ TROPOS
TROPOS - Home
Lidar group
Own developement
LACROS
Visualization of Lidar Products
Location | Calendar
place
Warsaw
|
date_range
Selected date
«
2026-01-07
»
1
Smart Mode
2
Expert Mode
3
Monitoring
4
Experimental
Overview panel
Attenuated backscatter coefficient
Attenuated backscatter coefficient NR
Volume depolarisation ratio
Target Classification
Quasi products v1
Quasi products v2
Water vapour products
All_Optical_Profiles_high_range
All_Optical_Profiles_low_range
POLIPHON products
Averaged PR2 + meteo input
Range-corrected signal FR
Range-corrected signal NR
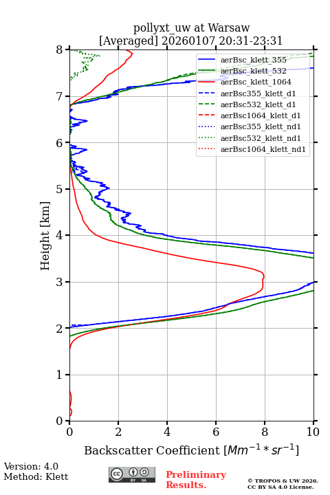
POLIPHON step 1 product based on Klett bsc
2026-01-07 00:00:00
⇒ 02:29:59
view_week
2026-01-07 03:36:59
⇒ 06:06:29
view_week
2026-01-07 03:36:59
⇒ 06:45:59
view_week
2026-01-07 14:26:59
⇒ 16:23:30
view_week
2026-01-07 17:14:00
⇒ 19:57:30
view_week
2026-01-07 20:31:00
⇒ 23:31:59
view_week
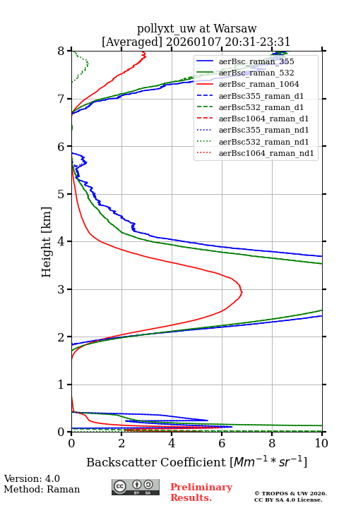
POLIPHON step 1 product based on Raman bsc
2026-01-07 00:00:00
⇒ 02:29:59
view_week
2026-01-07 03:36:59
⇒ 06:06:29
view_week
2026-01-07 03:36:59
⇒ 06:45:59
view_week
2026-01-07 14:26:59
⇒ 16:23:30
view_week
2026-01-07 17:14:00
⇒ 19:57:30
view_week
2026-01-07 20:31:00
⇒ 23:31:59
view_week