Lidar Product

ID
40572739
  • Image
    recent_plots_24h/pollyxt_tjk/2019/09/27/2019_09_27_Fri_TJK_00_00_01_0240_0340_Ext_Raman.png
  • Location | Lidar
  • Product category
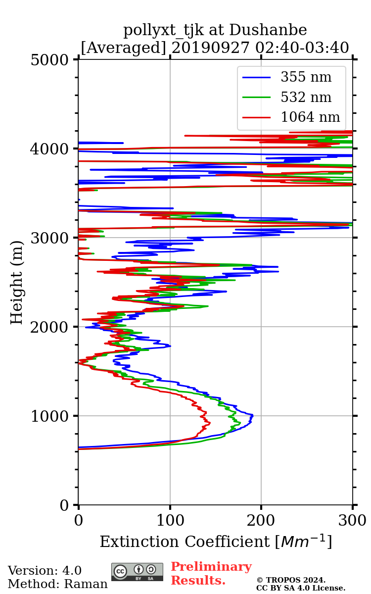
  • Product type
    Averaged extinction profile from Raman method
  • Active
    done
  • Info
    Meteorological data from GDAS1 at dushanbe on 20190927 03 UTC. Reference height is [ 4770.5 - 6264.8m] (355nm), [ 4949.9 - 6436.7m] (532nm) and [ NaN - NaNm] (1064nm). Smoothing window is 457.5m, 457.5m, 457.5m. If SNR for Raman signal at reference height is low, the Raman method will not be applied.
  • Related lidar data
  • Starttime
    2019-09-27 02:40:30
  • Stoptime
    2019-09-27 03:40:00
  • Stored/Updated in database
    2024-04-28 07:46:29
Image