Lidar Product

ID
40662854
  • Image
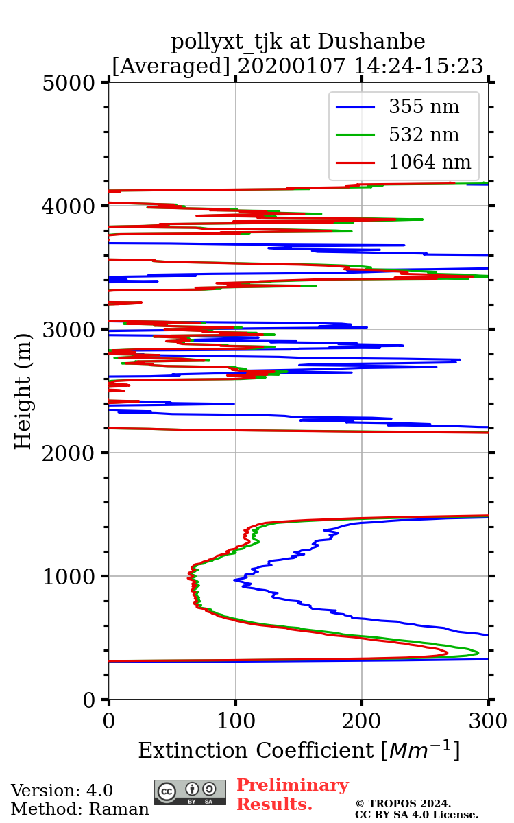
    recent_plots_24h/pollyxt_tjk/2020/01/07/2020_01_07_Tue_TJK_00_00_01_1424_1523_OC_Ext_Raman.png
  • Location | Lidar
  • Product category
  • Product type
    Averaged extinction profile from Raman method overlap_corrected
  • Active
    done
  • Info
    Meteorological data from GDAS1 at dushanbe on 20200107 15 UTC. Reference height is [ NaN - NaNm] (355nm), [ 2760.7 - 4187.8m] (532nm) and [ 6107.9 - 6982.1m] (1064nm). Smoothing window is 457.5m, 457.5m, 457.5m. If SNR for Raman signal at reference height is low, the Raman method will not be applied.
  • Related lidar data
  • Starttime
    2020-01-07 14:24:00
  • Stoptime
    2020-01-07 15:23:30
  • Stored/Updated in database
    2024-04-29 12:51:10
Image