Lidar Product
ID
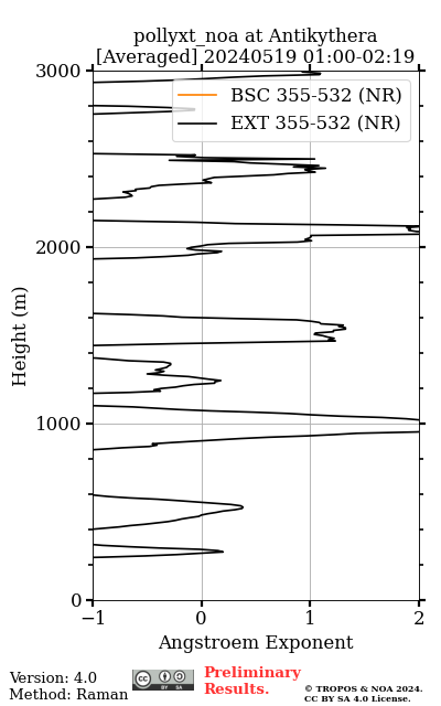
42148616
-
Imagerecent_plots_24h/pollyxt_noa/2024/05/19/2024_05_19_Sun_NOA_00_00_01_0100_0219_ANGEXP_Raman_NR.png
-
Location | Lidar
-
Product category
-
Product typeAveraged Angstroem exponent profile (Raman method) near-range
-
Active
-
InfoMeteorological data from GDAS1 at antikythera on 20240519 00 UTC. Lidar ratio is 50.0sr at 355nm, 50.0 at 532nm and 50.0 at 1064nm. Reference height is [ NaN - NaNm] (355nm), [12413.8 - 13310.4m] (532nm) and [ NaN - NaNm] (1064nm). Smoothing window is 742.5m, 742.5m, 742.5m. No overlap correction.
-
Related lidar data
-
Starttime
2024-05-19 01:00:13 -
Stoptime
2024-05-19 02:19:41 -
Stored/Updated in database
2024-05-22 08:25:08
