Lidar Product

ID
43584581
  • Image
    recent_plots_24h/pollyxt_cge/2024/07/28/2024_07_28_Sunday_00_00_01_1200_1318_Meteor_T.png
  • Location | Lidar
  • Product category
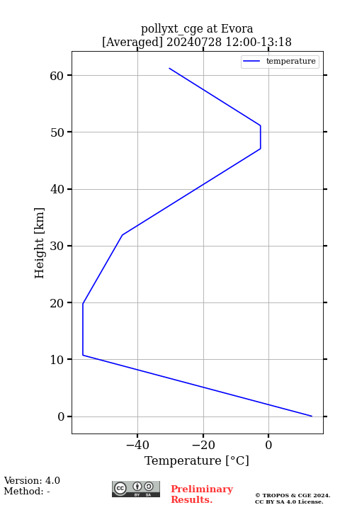
  • Product type
    Averaged temperature profile used as input
  • Active
    done
  • Info
    profile from Meteor_T
  • Related lidar data
  • Starttime
    2024-07-28 12:00:31
  • Stoptime
    2024-07-28 13:18:31
  • Stored/Updated in database
    2024-07-28 15:13:29
Image