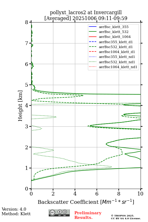
Lidar Product
ID
47733620
-
Imagerecent_plots_24h/pollyxt_lacros2/2025/10/06/2025_10_06_Mon_LACROS2_00_00_01_0912_1000_Bsc_Klett_POLIPHON_1.png
-
Location | Lidar
-
Product category
-
Product typePOLIPHON step 1 product based on Klett bsc
-
Active
-
Infoprofile from POLIPHON_step1_Klett
-
Related lidar data
-
Starttime
2025-10-06 09:11:59 -
Stoptime
2025-10-06 09:59:59 -
Stored/Updated in database
2025-10-07 04:13:20
