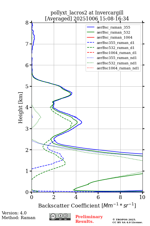
Lidar Product
ID
47734272
-
Imagerecent_plots_24h/pollyxt_lacros2/2025/10/06/2025_10_06_Mon_LACROS2_00_00_01_1509_1634_Bsc_Raman_POLIPHON_1.png
-
Location | Lidar
-
Product category
-
Product typePOLIPHON step 1 product based on Raman bsc
-
Active
-
Infoprofile from POLIPHON_step1_Raman
-
Related lidar data
-
Starttime
2025-10-06 15:08:59 -
Stoptime
2025-10-06 16:34:30 -
Stored/Updated in database
2025-10-07 04:13:20
