Lidar Product
ID
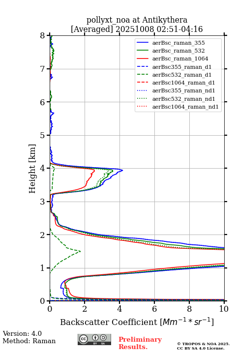
47737300
-
Imagerecent_plots_24h/pollyxt_noa/2025/10/08/2025_10_08_Wed_NOA_00_00_01_0251_0417_Bsc_Raman_POLIPHON_1.png
-
Location | Lidar
-
Product category
-
Product typePOLIPHON step 1 product based on Raman bsc
-
Active
-
Infoprofile from POLIPHON_step1_Raman
-
Related lidar data
-
Starttime
2025-10-08 02:51:30 -
Stoptime
2025-10-08 04:16:59 -
Stored/Updated in database
2025-10-09 04:13:31
