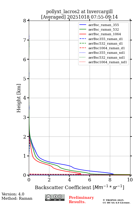
Lidar Product
ID
47759053
-
Imagerecent_plots_24h/pollyxt_lacros2/2025/10/18/2025_10_18_Sat_LACROS2_00_00_01_0755_0915_Bsc_Raman_POLIPHON_1.png
-
Location | Lidar
-
Product category
-
Product typePOLIPHON step 1 product based on Raman bsc
-
Active
-
Infoprofile from POLIPHON_step1_Raman
-
Related lidar data
-
Starttime
2025-10-18 07:55:00 -
Stoptime
2025-10-18 09:14:59 -
Stored/Updated in database
2025-10-18 10:13:20
