Lidar Product
ID
47766585
-
Imagerecent_plots_24h/pollyxt_tjk/2025/10/21/2025_10_21_Tue_TJK_00_00_01_0000_0059_Bsc_Klett_POLIPHON_1.png
-
Location | Lidar
-
Product category
-
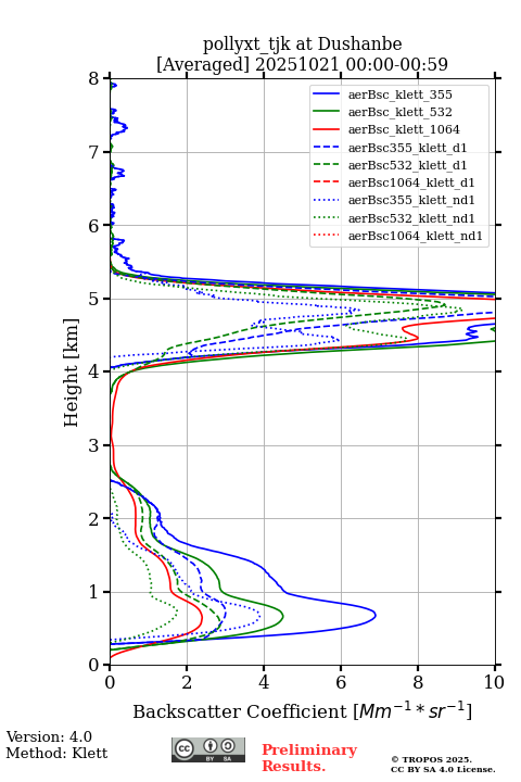
Product typePOLIPHON step 1 product based on Klett bsc
-
Active
-
Infoprofile from POLIPHON_step1_Klett
-
Related lidar data
-
Starttime
2025-10-21 00:00:00 -
Stoptime
2025-10-21 00:59:29 -
Stored/Updated in database
2025-10-22 04:13:29
