Lidar Product

ID
47771105
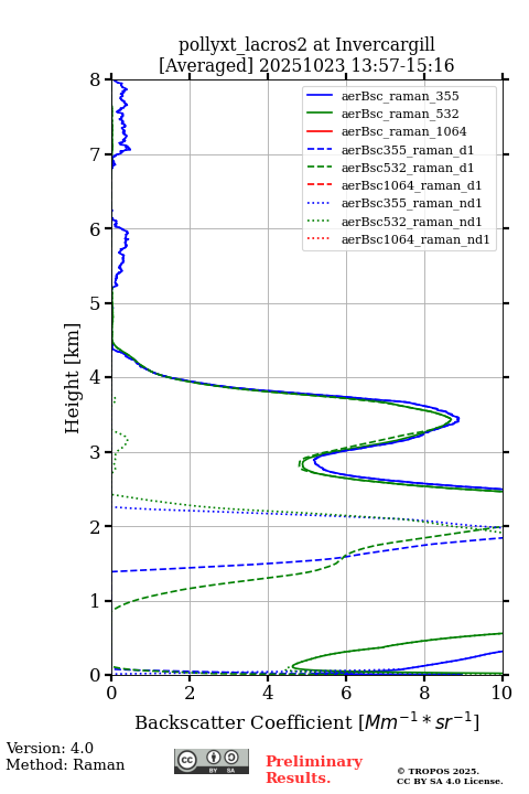
  • Image
    recent_plots_24h/pollyxt_lacros2/2025/10/23/2025_10_23_Thu_LACROS2_00_00_01_1357_1517_Bsc_Raman_POLIPHON_1.png
  • Product category
  • Product type
    POLIPHON step 1 product based on Raman bsc
  • Active
  • Info
    profile from POLIPHON_step1_Raman
  • Related lidar data
  • Starttime
    2025-10-23 13:57:30
  • Stoptime
    2025-10-23 15:16:59
  • Stored/Updated in database
    2025-10-24 04:13:19
Image